US-GLOBEC: Analysis of short-term growth in copepods and larval fish using molecular markers of cell proliferation

NSF Grant OCE-9313676

Progress Report for the period 9/1/94 - 8/31/95

John J. Stegeman, Senior Scientist,
Michael J. Moore, Research Specialist,
Bruce R. Woodin, Research Associate,
Michael S. Morss, Guest Student

Biology Department
Woods Hole Oceanographic InstitutionHole, MA 02543

May 30th 1994

Summary

In the second year of the project we have completed the majority of our development goals through analysis of experimental material generated at WHOI and of field material in collaboration with a number of GLOBEC projects at the copepod workshop held at the Hawaii Institute of Marine Biology in May 1994. We have also made substantive progress in the major aim of the project through participation in 3 US-GLOBEC cruises on Georges Bank in March, April and May 1995. The markers we have developed are applicable to a broad spectrum of marine life. We have found that cell proliferation is in general increased with improved nutrition in copepods and larval fish. Copepodites appear to put most of their growth into the growing caudal segment, whereas adults appear to invest more in gonadal maturation, even in periods of relative starvation. We have also found that water temperature appears to be a greater determinant of cell proliferation activity than chemical exposure. We therefore believe we have developed a short term index that reflects both somatic growth in larval fish and subadult copepods and reproductive effort in mature copepods. This is an important development for our capacity to directly assess biological productivity in the ocean. Tools such as these that detect cells undergoing division are central to the study of the effects of alterations in temperature, UV light exposure, food availability and other climatically influenced variables in many if not all organisms in the oceans of the world.

Results for each goal:

Goal 1. Establish functional molecular markers of cell proliferation in juvenile and adult copepods and larval cod and haddock.

We have two immunohistochemical markers for cell proliferation in these organisms.

  1. Detection of proliferating cell nuclear antigen (PCNA). This endogenous protein, a processivity factor for DNA polymerase d, can be visualized using an anti-PCNA monoclonal antibody which highlights nuclei that are active in the mitotic cycle. The protein is either detected in situ using immunohistochemistry, or in vitro, either by western blot, or by slot blot.
  2. Bromodeoxyuridine (BrdU) incorporation. Organisms are bath-exposed to a nucleotide analog for 3 hours prior to sampling. Sections stained with anti-BrdU/peroxidase highlight nuclei undergoing the synthetic phase of the mitotic cycle.

Detection of proliferating cell nuclear antigen protein Immunoblot

Whole organisms are frozen in liquid nitrogen. Using modifications of our previously described protocol (1) nuclei are isolated from samples by homogenizing in 50 mmol TRIS, 0.15 mol KClbuffer and then sedimented by centrifugation at 750 X g for 10 min. After removal of the supernate, the resulting nuclear pellet is extracted with 2 volumes (38 microlitres) of extraction buffer (50 mM TRIS, 0.15 M KCl, 5mM EDTA, 0.5% Nonidet P-40, pH 7.5). Nuclear extract protein is determined using the BCA procedure of Smith (2). 100 g of nuclear extract and BioRad prestained molecular weight standards are electrophoretically resolved on a 12% polyacrylamide gel and transferred to a Schleicher & Schuell (S & S) Rad Free nylon membrane. Or extracts are applied directly to the membrane using a Millipore slot blot apparatus. This membrane is incubated with mouse monoclonal antibody PC10 (Dako) against rat PCNA at a concentration of 10 g IgG/ml in S & S blocker/TRIS buffered saline (TBS). The secondary antibody used is 1/900 diluted S & S alkaline phosphatase conjugated goat anti-mouse Ig in blocker/TBS. X-ray film is exposed for various times to blots incubated with S & S Enhanced Chemiluminescence (ECL) lumiphos substrate sheets according to the manufacturer's protocol. After standard film development, digital images (Kodak DCS 200) of the bands are analyzed densitometrically using the NIH Image software program. All species of fish and crustacean tested to date have shown specific immunoreactivity with the PC10 anti-PCNA monoclonal antibody. (See Figure 1.)

Immunohistochemistry - Sections on poly-L-lysine slides are stained for PCNA following the method of Ortego (3). After rehydration, slides are placed in a polypropylene slide holder in water, and boiled in a 600w microwave for 9 minutes followed by a 1 minute rest followed by a further 4 minute boil. Slides are then cooled for 15 minutes and placed in a CoverplateTM rack (Shandon, Pittsburgh PA). All antibody dilutions and washes after each incubation are in 0.005% v/v Tween 20 PBS (TPBS). Reagent volumes used are 120 l. 2 ml TPBS are used for each wash. Slides are incubated for 20 min. in 1% BSA, 1% non-fat dry milk in TPBS and then incubated for 1 hour with 1/100 anti-PCNA. Subsequent incubations use the mouse universal peroxidase kit (Signet, Dedham MA), with DAB or AEC chromogenesis and counterstained with Mayers hematoxylin and mounted in 9:1 glycerol:PBS.

Bromodeoxyuridine incorporation

For labeling with nucleotide analogs the animals are held in static baths, at the desired temperature(s). Nucleotide analogs, bromodeoxyuridine (w/v 30 mg/l ) and fluorodeoxyuridine (w/v 3 mg/l), are simultaneously added to the water. The latter compound inhibits thymidylate synthetase (4), reducing competition by endogenous thymidine and increasing BrdU incorporation. Duration of exposure of copepods and larval fish is usually 3 hours. Samples are preserved in 10% neutral buffered formalin and then dehydrated and embedded in paraffin. Five m sections are placed on aminopropyltriethoxysilane coated slides and BrdU uptake detected immunohistochemically using the Amersham cell proliferation kit as described previously (5), with 1 hour pre-treatment with 0.4% Triton N-101 in PBS, 16 hour incubation with anti-BrdU RPN20 monoclonal, 1 hour incubation in peroxidase linked anti-mouse secondary antibody, and 10 minutes chromogenesis with nickel chloride intensified diaminobenzidine. Sections are then counterstained with eosin, dehydrated and mounted in Permount.

Quantitation of immunohistochemistry

PCNA and BrdU labelling indices are estimated for each cell type present in each specimen. PCNA expression is either calculated as a ratio of the number of labelled nuclei per 1000 nuclei (labelling index) or estimated as a semi-quantitative index. For the labelling index one thousand nuclei are examined for each cell type in each specimen, except in cases where the total number of nuclei of a particular cell type was less in the available section. In those cases the index is normalized to a fraction of 1000. PCNA expression and BrdU incorporation can also be estimated on a score of 0 (absent) through 4 (very common).

Goal 2. Establish which organs or tissues in copepods and larval fish have measurable increases in cell proliferation during body growth that are predictive of growth of the whole organism.

These methods have shown high levels of proliferation in the pancreas, liver, intestine and integument of larval cod (Figure 2) and winter flounder (Figure 3). The intestinal contents appear not to give any reactivity with the PC 10 antibody suggesting that prey items should not interfere with whole organism nuclear extracts as used in the slot blot assay. In copepodites we have seen proliferation in the caudal region of the cephalothorax and the appendages (Figure 4), and in adults gonadal maturation is the most active proliferative event. Table 3 shows a comparison of PCNA expression in C5 versus adult females and males. The low level of PCNA in males as compared to the other two classes is remarkable and presumably reflects the greater growth investment in eggs than sperm.

Goal 3. Compare a) the cell proliferation growth index (CPGI) with other commonly used indices of growth such as size, weight, egg production and RNA/DNA ratios by collaborating as necessary, and b) the influence of temperature and food availability on copepod and larval fish growth using the CPGI

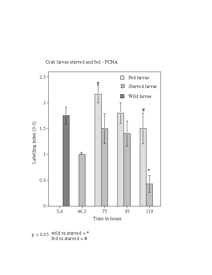
This goal is still being actively pursued. In collaboration with Scott Gallager and Phil Alatalo here at WHOI Pseudodiaptomus coronatus copepodites were reared at two temperatures, and either fed or starved. Larval codfish were reared on three different diets. Proliferation indices were compared with physical measurements made at the time of sampling. PCNA expression was found to be significantly elevated on a diet of nauplii as compared to a mixed diet, or the initial condition (Table 4). We have also completed data generation from a series of experiments conducted in parallel with Dr.'s Clarke, Huntley, Lopez and Crawford in Hawaii. PCNA expression does appear to correlate with feeding regime in a manner comparable to citrate synthase (Tables 5 to 8), whereas PCNA expression did not correlate with egg productivity (Table 9). This presumably reflects a mismatch in the timing of PCNA expression during gonadal differentiation vs. the actual shedding of mature eggs.

Goal 4. Further optimize the CPGI methodology to establish a robust and rapid shipboard assay for growth in larval fish and copepods.

We have expended substantial effort in developing this assay with considerable success. For individual larval fish, and 1-5 copepods, depending on size, we have developed an in vitro assay for PCNA content on frozen samples. The method was first established using a western blot technique, and is now routinely run 40 samples at a time, using a slot blot technique, as described above. Samples are homogenized in a buffer, centrifuged to remove cell debris, and applied to a slot blot apparatus. Blots are then visualized using a chemiluminescence method, with digital quantitation. This method has been successfully applied both in larval cod and winter flounder, Pseudodiaptomus coronatus, and a number of copepod species and crab zoae from Hawaii. (See Figure 5.)

We are also currently evaluating other cell cycle associated proteins for potential application in this project. In particular we will determine which proteins might have a shorter half life than PCNA and thus be sensitive to short term changes in environmental conditions.

Goal 5. Utilize the field method to compare growth in larval fish and copepods between areas of low and high productivity, comparing the effects of physical and biological parameters, such as temperature, stratification, mixing, and food availability on the CPGI and compare growth between groups of organisms at the micro-patch scale.

We participated in three US-GLOBEC cruises aboard the R/V Seward Johnson in the Spring of 1995 (SJ-9503, SJ-9505, SJ-9507). A total of 1457 individual samples of larval cod and haddock, and adult female Calanus finmarchicus were preserved in either liquid nitrogen or formalin for slot blot and immunohistochemical analysis respectively. These analyses are underway at present.

Goal 6. Examine cell proliferation in predators, such as Cyanea sp. to establish the changes in growth rate resulting from altered predation rates, as assessed by dietary studies

This goal will be pursued as time allows in the coming year.

Goal 7. Utilize available histological samples to assess the impact of chemical contaminants and infectious disease on the growth and survival of larval cod and haddock.

This important question has not been addressed to date in the two target species, but we can report some important observations in another Georges Bank groundfish species, the winter flounder (Pleuronectes americanus). In other studies we have shown a strong correlation between exposure to persistent halogenated hydrocarbons, and the presence of hydropically vacuolated cells in the liver of this species. These cells have been shown to have increased proliferative activity. In a comparison of cell proliferation, chemical exposure, prevalence of vacuolation and water temperature at the time of collection, it appeared the strongest correlation was between cell proliferation and water temperature (Tables 10 and 11). Thus climate change as evidenced by changes in water temperature has the potential to be a significant factor in the physiology and pathology of this species at least, even in areas where chemical exposure is also of known significance.

Acknowledgments

We are grateful to Carolyn Miller, Phil Alatalo, Scott Gallager, Mark Huntley, Mai Lopez and Greg Lough.

Publications

We have a paper describing the BrdU technique (6), and we have a manuscript in revision describing use of BrdU and PCNA in copepodites, and will be preparing a manuscript describing the relationship between feeding and PCNA expression shortly.

  1. Kloepper-Sams, P.J., Park, S.S., Gelboin, H.V., Stegeman, J.J. 1987. Specificity and cross-reactivity of monoclonal and polyclonal antibodies against cytochrome P450E of the marine fish scup. Arch. Biochem. Biophys.253: 268-278.

  2. Smith, P.K., Krohn, R.I., Hermanson, G.T., Mallia, A.K., Gartner, F.H., Provenzano, M.D., Fujimoto, E.K., Goeke, N.M., Olson, B.J., Klenk, D.C. 1985. Measurement of protein using bicinchoninic acid. Anal. Biochem.150: 76-85.

  3. Ortego, L., Hawkins, W., Walker, W., Krol, R., Benson, W. In press. Detection of proliferating cell nuclear antigen (PCNA) in tissues of 3 small fish species. Biotechnic and Histochemistry

  4. Ellwart, J., Dormer, P. 1985. Effect of 5-fluoro-2'-deoxyuridine (FdUrd) on 5-bromo-2'-deoxyuridine (BrdUrd) incorporation into DNA measured with a monoclonal BrdUrd antibody and by the BrdU/Hoechst quenching effect. Cytometry6: 513-520.

  5. Moore, M.J., Stegeman, J.J. 1992. Bromodeoxyuridine uptake in hydropic vacuolation and neoplasms in winter flounder liver. Marine Environmental Research34: 13-18.

  6. Moore, M.J., Leavitt, D.F., Shumate, A.M., Alatalo, P., Stegeman, J.J. 1994. A cell proliferation assay for small fish and aquatic invertebrates using bath exposure to bromodeoxyuridine. Aquat Toxicol30: 183-188.